Get Piero Della Francesca Mathematics Images

39+ Mathematics B Igcse Edexcel Pictures

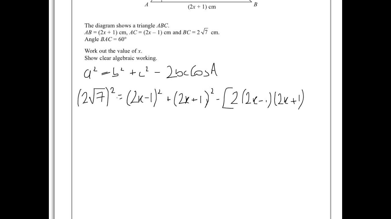
39+ Mathematics B Igcse Edexcel Pictures. Also, for upper secondary education. These are the topics featured:

Edexcel Igcse Mathematics B Student - ??2015-06-21Edexcel ...
Edexcel Igcse Mathematics B Student - ??2015-06-21Edexcel ... from reader019.dokumen.tips
For maths b, i would suggest the following books Questions organised by topic with model answers & video solutions. Visit the edexcel website qp = question paper ms = mark scheme.

Just click on the following videos made on various topics of igcse & edexcel mathematics mainly algebra, arithmetic, trigonometry & geometry which surely help students to satisfy their concepts.

Just click on the following videos made on various topics of igcse & edexcel mathematics mainly algebra, arithmetic, trigonometry & geometry which surely help students to satisfy their concepts. Best place to get edexcel igcse and gcse notes. For maths b, i would suggest the following books Edexcel igcse mathematics b past papers with mark scheme & examiner report.

Komentar